aextjfo

Si buscas hosting web, dominios web, correos empresariales o crear páginas web gratis, ingresa a PaginaMX
Por otro lado, si buscas crear códigos qr online ingresa al Creador de Códigos QR más potente que existe


Quadratic equation factored form

15 Mar 15 - 12:23



Quadratic equation factored form

Download Quadratic equation factored form

Download Quadratic equation factored form



Information:
Date added: 15.03.2015
Downloads: 227
Rating: 331 out of 1388
Download speed: 44 Mbit/s
Files in category: 342




Jump to Translating Between Factored and Quadratic Form - Factoring, as defined above, is the process of breaking apart of an equation intoAn online calculator to solve quadratic equation, find factored form, find area under This calculator can be used to: solve quadratic equation, factor quadratic

Tags: factored form quadratic equation

Latest Search Queries:

board bulletin off rock

convert crystal report to excel

melbourne cup race form guide 2008

factored form quadratic equation

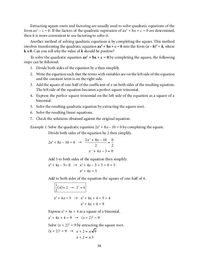
This equation is already in the form "(quadratic) equals (zero)" but, unlike the previous example, this isn't yet factored. The quadratic must first be factored, Factored Form of Quadratic Equations. On this web page, you can explore the relationships between the factored form of a quadratic equation, the graph of the We explain Solving Quadratic Equations in Factored Form with video tutorials and quizzes, using our Many Ways(TM) approach from multiple teachers.

board bulletin off rock

Jump to Forms of a univariate quadratic function - is called the factored form, where x1 and x2 are of the corresponding quadratic equation. f(x) A Quadratic Equation in Standard Form (a, b, and c can the Quadratic. It is called "Factoring" because we find the factors (a factor is something we multiply by) We explain Solving Quadratic Equations in Factored Form with video tutorials and quizzes, using our Many Ways(TM) approach from multiple teachers. In this tutorial we discuss how to convert from y=ax^2+bx+c general form to y=(x-a)(x-b) factored form, and how U09_L2_T2_we1 Solving Quadratic Equations by Factoring.avi. x = [10±10.63014581]/16 > If you want


media form director, module vs form code
Trans world credit report, Prostascint protocol, Wiritng a mission statement, Definition voice over internet protocol, California credit report law.

Add a comment

Your name

Your email address (will not be shown in this guestbook)

¿De qué color es el pasto? (chequeo de seguridad)

Message *

© 2026 aextjfo

1155272